<html>
<head>
<title>
Sampling, aliasing, and antialiasing (part II)
</title>
</head>
<body>

<h2>
Sampling, aliasing, and antialiasing (part II)
</h2>

<blockquote>
CS 248 - Introduction to Computer Graphics
<br>
Spring Quarter, 1995
<br>
Marc Levoy
<br>
Lecture notes for Tuesday, May 2
<br>
</blockquote>


<p>
<hr>

<h3>Table of contents:</h3>
<ul>
<li>	Application to computer graphics
	<ol>
	<li>	<a href="#Spatial aliasing: polygon edges">
		Spatial aliasing: polygon edges</a>
	<li>	<a href="#Temporal aliasing: wagon wheels">
		Temporal aliasing: wagon wheels</a>
	<li>	<a href="#Raising the sampling rate versus filtering">
		Raising the sampling rate versus filtering</a>
	<li>	<a href="#Summary">
		Summary</a>
	</ol>
<li>	Supersampling followed by resampling
	<ol>
	<li>	<a href="#Overview">
		Overview</a>
	<li>	<a href="#Preconvolving r and g">
		Preconvolving r and g</a>
	<li>	<a href="#Approximations">
		Approximations</a>
	<li>	<a href="#Supersampling versus filtering">
		Supersampling versus filtering</a>
	</ol>
<li>	Polygon scan conversion with supersampling/resampling
	<ol>
	<li>	<a href="#1 scan conversion to a supersampling grid">
		1 scan conversion to a supersampling grid</a>
	<li>	<a href="#s scan conversions with shifted centers">
		s scan conversions with shifted centers</a>
	<li>	<a href="#Handling multiple polygons">
		Handling multiple polygons</a>
	<li>	<a href="#Progressive refinement">
		Progressive refinement</a>
	</ol>
</ul>

<p>
Press here for <a href="/courses/cs248-95/samp/gamma-corrected/samp1.html">part I</a> of this lecture.
<br>
Press here for <a href="/courses/cs248-95/samp/gamma-corrected/samp3.html">part III</a> of this lecture.

<p>
<hr>

<a name="Spatial aliasing: polygon edges"></a>
<a name="Temporal aliasing: wagon wheels"></a>
<img src="/courses/cs248-95/samp/gamma-corrected/samp8.gif">
<hr>

<a name="Raising the sampling rate versus filtering"></a>
<a name="Summary"></a>
<img src="/courses/cs248-95/samp/gamma-corrected/samp9.gif">
<hr>

<a name="Overview"></a>
<a name="Preconvolving r and g"></a>
<a name="Approximations"></a>
<img src="/courses/cs248-95/samp/gamma-corrected/samp10.gif">
<hr>

<a name="Supersampling versus filtering"></a>
<img src="/courses/cs248-95/samp/gamma-corrected/samp11.gif">
<hr>

<a name="1 scan conversion to a supersampling grid"></a>
<a name="s scan conversions with shifted centers"></a>
<img src="/courses/cs248-95/samp/gamma-corrected/samp12.gif">
<hr>

<a name="Handling multiple polygons"></a>
<img src="/courses/cs248-95/samp/gamma-corrected/samp13.gif">
<hr>

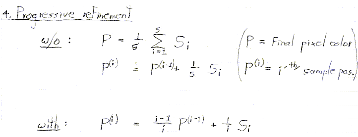
<a name="Progressive refinement"></a>
<img src="/courses/cs248-95/samp/gamma-corrected/samp14.gif">
<hr>

<address>
levoy@cs.stanford.edu
</address>
Tuesday, 22-Apr-1997 22:57:34 PDT

</body>
</html>
