<html>
<head>
<title>
Sampling, aliasing, and antialiasing (part I)
</title>
</head>
<body>

<h2>
Sampling, aliasing, and antialiasing (part I)
</h2>

<blockquote>
CS 248 - Introduction to Computer Graphics
<br>
Spring Quarter, 1995
<br>
Marc Levoy
<br>
Lecture notes for Tuesday, May 2
<br>
</blockquote>


<p>
<hr>

<h3>Table of contents:</h3>
<ul>
<li>	Sampling and reconstruction
	<ol>
	<li>	<a href="#Overview">
		Overview</a>
	<li>	<a href="#Looking at venetian blinds through a screen">
		Looking at venetian blinds through a screen (sampling)</a>
	<li>	<a href="#Solution A: finer screen">
		Solution A: finer screen (raising the sampling rate)</a>
	<li>	<a href="#Solution B: blur the venetians">
		Solution B: blur the venetians (bandlimiting)</a>
	<li>	<a href="#Example of convolution: rect function">
		Example of convolution: rect function</a>
	<li>	<a href="#Looking at a photo of the scene mounted on the screen">
		Looking at a photo of the scene mounted on the screen (reconstruction)</a>
	<li>	<a href="#Aliasing versus reconstruction error">
		Aliasing versus reconstruction error</a>
	</ol>
</ul>

<p>
Press here for <a href="/courses/cs248-95/samp/gamma-corrected/samp2.html">part II</a> of this lecture.
<br>
Press here for <a href="/courses/cs248-95/samp/gamma-corrected/samp3.html">part III</a> of this lecture.

<p>
<hr>

<a name="Overview"></a>
<img src="/courses/cs248-95/samp/gamma-corrected/samp2.gif">
<hr>

<a name="Looking at venetian blinds through a screen"></a>
<a name="Solution A: finer screen"></a>
<img src="/courses/cs248-95/samp/gamma-corrected/samp3.gif">
<hr>

<a name="Solution B: blur the venetians"></a>
<img src="/courses/cs248-95/samp/gamma-corrected/samp4.gif">
<hr>

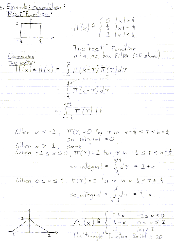
<a name="Example of convolution: rect function"></a>
<img src="/courses/cs248-95/samp/gamma-corrected/samp5.gif">
<hr>

<a name="Looking at a photo of the scene mounted on the screen"></a>
<img src="/courses/cs248-95/samp/gamma-corrected/samp6.gif">
<hr>

<a name="Aliasing versus reconstruction error"></a>
<img src="/courses/cs248-95/samp/gamma-corrected/samp7.gif">
<hr>

<address>
levoy@cs.stanford.edu
</address>
Tuesday, 22-Apr-1997 22:57:34 PDT

</body>
</html>
